致天實業AB膠網為您整理了環氧系灌封膠產品主要成分:
一、環氧樹脂
環氧樹脂屬于環氧低聚物,是環氧灌封膠的重要組分,與固化劑反應形成具有三維網狀的熱固性復合材料。大部分情況下,環氧樹脂是在液態下使用,常溫或加熱固化后可以應用。
液體環氧樹脂固化反應過程中具有收縮率小,且固化后的耐熱性、粘結性等優良特性,是應用量較大的一個熱固性的樹脂品種。
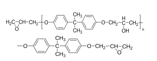
環氧樹脂結構圖如下:

二、固化劑
固化劑是環氧樹脂灌封膠重要組分。不同固化劑,獲得性能不同的環氧灌封膠,在環氧灌封膠配方體系中,最常用的有兩類固化劑:酸酐類和胺類。
酸酐類固化劑,是雙組分加熱固化環氧灌封料最重要的固化劑常用品種有液態甲基六氫鄰苯二甲酸酐、液態甲基四氫鄰苯二甲酸酐等,此類固化劑粘度小,用量大,在灌封膠配方體系中起固化、稀釋兩重作用。固化過程中,放熱緩和,固化后產品綜合性能優異。
胺類固化劑,室溫固化灌封膠中選用,可在室溫條件下固化環氧樹脂,然而它具有強烈的刺激性氣味,加之加量小、適用期短、放熱劇烈等因素,故而現已很少采用。
三、導熱填料
灌封膠中導熱填料多為無機粉體材料,填料的加入能夠大幅提高灌封膠導熱性能。與環氧樹脂基體相比,填料具備更高的導熱性和絕緣性、更低的吸水率和線膨脹系數因此,足夠量的填料可明顯改善灌封料的工藝性能及固化后產品的綜合性能,簡單地講,導熱填料的性能,是能滿足灌封工藝和產品要求的最關鍵因素。
四、其他組分
為滿足產品特定的性能要求,可在配方中加入其它組分。如加入稀釋劑,能夠有效降低灌封膠體系粘度;加入消泡劑、防沉劑可改善材料的工藝性能;加入阻燃劑,能夠提高材料的安全性和可靠性;加入偶聯劑改善材料的粘接性能;加入著色劑用以滿足產品的外觀要求等。










